And a brief return to 'exceptional' primes 

 

 

Here I really will be brief and to the point. 

 

Earlier I remarked that we had an early criterion for a prime being 'exceptional' (in the context of quarter Gauss factorials, but indeed more generally), and that we had established p = 29789 to be the only (initial, meaning at alpha = 1) exceptional prime up to `+`(`*`(4, `*`(`^`(.10, 8)))). 

 

It would take me too far afield if I was to outline the meaning of higher exceptionality, but taking the notion of general alpha-exceptionality as a given (what you encountered earlier was the case alpha = 1) we later arrived at the following theorem  

 

(which is Theorem 9 of our paper #9 at https://www.johnbcosgrave.com/publications): 

 

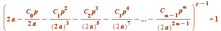
a prime is alpha-exceptional (for Gauss factorial quarter intervals) if and only if: 

 

 

(mod `^`(p, `+`(alpha, 1))) 

 

 

(where 'a' has its usual meaning, as throughout this talk)  

 

and thus, in particular at alpha = 1, a prime is 1-exceptional if and only if: 

 

`^`(`+`(`*`(2, `*`(a)), `-`(`*`(p, `*`(`/`(`+`(`*`(2, `*`(a)))))))), `+`(p, `-`(1))) = 1 (mod `*`(`^`(p, 2))) 

 

And finally I show you that test applied to all such primes up to 50,000: 

 

 

> st:= time[real]():


for p from 5 by 4 to 50000 do if isprime(p) then

                        a||p := a_sign(p):

if (2*a||p - p/(2*a||p))&^(p-1) mod p^2 = 1 then print(``);

lprint(`The prime`, p, `is 1-exceptional for Gauss quarter factorials.`) fi fi od:

print(``);

lprint(`That computation took`, time[real]() - st, `seconds.`);
 

 

 

 

`The prime`, 29789, `is 1-exceptional for Gauss quarter factorials.`
`That computation took`, .735, `seconds.`
 

>
 

 

That was not the best application of the test - a much facter one is what we used - but a full explanation would take us further afield. 

 

_________________