And the continuation, and finalisation 

 

 

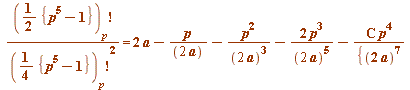
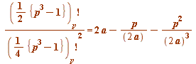
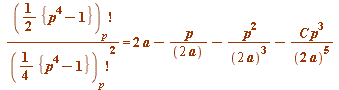
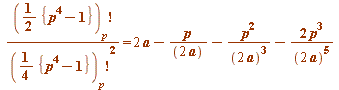
The obvious question to pursue then was this: what can one say about the next object up (as it were), namely:`/`(`*`(factorial(`*`(`/`(1, 2), `+`(`*`(`^`(p, 3)), `-`(1)))[p])), `*`(`^`(factorial(`*`(`/`(1, 4), `+`(`*`(`^`(p, 3)), `-`(1)))[p]), 2))) (mod `*`(`^`(p, 3)))  

Thus, what is the correct shape of the following possible extension: 

 

 

(mod `*`(`^`(p, 3)))

(mod `*`(`^`(p, 3))) 

 

What might the unknows and be (the last sign is not important; yes, it could have been 'plus', but then ... )?  

 

There are a couple of candidates for , but an obvious candidate was `*`(`^`({`+`(`*`(2, `*`(a)))}, 3)), and so we ran with: 

 

(mod `*`(`^`(p, 3))) 

 

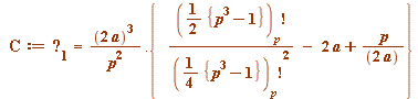
which of course gave that (a possible) would be given by the (mod p) evaluation of the following right-hand side: 

 

 

 

And here is that (exciting!) computation for primes up to 41:
 

 

> L := []:

for p from 5 by 4 to 41 do if isprime(p) then L := [op(L), p] fi od:

for p in L do

                      a||p := a_sign(p):
                      A||p := 2*a||p:

                    NUM||p := PI(p^3, 2, 1):
                    DEN||p := PI(p^3, 4, 1):

                    LHS||p := mods(NUM||p/DEN||p^2, p^3):

                      C||p := (A||p - p/A||p - LHS||p) * (A||p^3/p^2);

          od:

print(``); print(array([['p', ``, ``, 'C'],

seq([p, ``, ``, mods(C||p, p)], p = L)])): print(``);
 

 

 

array( 1 .. 7, 1 .. 4, [( 1, 1 ) = (p), ( 5, 4 ) = (1), ( 2, 3 ) = (``), ( 7, 2 ) = (``), ( 4, 1 ) = (17), ( 5, 3 ) = (``), ( 7, 1 ) = (41), ( 4, 2 ) = (``), ( 3, 4 ) = (1), ( 5, 2 ) = (``), ( 6, 1 ) ...
(11.1)
 

>
 

 

 

which strongly suggested that we had this new congruence: 

 

 

(mod `*`(`^`(p, 3))) 

 

 

And now I speed up: what might 'C' be in a possible: 

 

 

(mod `*`(`^`(p, 4))) 

 

So, we computed a (mod p) evaluation of the following right-hand side: 

 

 

C = Typesetting:-delayDotProduct(`/`(`*`(`^`({`+`(`*`(2, `*`(a)))}, 5)), `*`(`^`(p, 3))), {`+`(`/`(`*`(factorial((`+`(`*`(`/`(1, 2), `*`({`+`(`*`(`^`(p, 4)), `-`(1))}))))[p])), `*`(`^`(factorial((`+`(... 

 

And here it is (note all the appropriately changed powers etc): 

 

 

> L := []:

for p from 5 by 4 to 29 do if isprime(p) then L := [op(L), p] fi od:

for p in L do

                  a||p := a_sign(p):
                  A||p := 2*a||p:

                NUM||p := PI(p^4, 2, 1):
                DEN||p := PI(p^4, 4, 1):

                LHS||p := mods(NUM||p/DEN||p^2, p^4):

                  C||p := (A||p - p/A||p - p^2/A||p^3 - LHS||p) * (A||p^5/p^3);

          od:

print(``); print(array([['p', ``, ``, 'C'],

seq([p, ``, ``, mods(C||p, p)], p = L)])): print(``);
 

 

 

array( 1 .. 5, 1 .. 4, [( 4, 2 ) = (``), ( 1, 1 ) = (p), ( 2, 3 ) = (``), ( 3, 1 ) = (13), ( 4, 3 ) = (``), ( 2, 4 ) = (2), ( 4, 1 ) = (17), ( 1, 2 ) = (``), ( 1, 3 ) = (``), ( 5, 2 ) = (``), ( 3, 4 )...
(11.2)
 

>
 

>
 

 

which strongly suggested that we had this new congruence: 

 

 

(mod `*`(`^`(p, 4))) 

 

 

 

In my talk I asked for guesses for a possible value of C in this possible congruence: 

 

 

(mod `*`(`^`(p, 5))) 

 

(You will recall your responses ... )  

 

(Once, in BYU (Utah), someone suggested the emerging coefficients could be the Fibonacci numbers: 1, 1, 2, 3, 5, 8, ... ) 

 

(Just once, in Galway, someone correctly guessed (a fluke, of course) what's coming up: ) 

 

And, it emerged that these successive possible C-values proved to be: the Catalan numbers: 

 

C[0], C[1], C[2], C[3], `...`, C[n], `...` 

where C[n] is given by: 

 

C[n] = Typesetting:-delayDotProduct(`/`(1, `*`(`+`(n, 1))), binomial(`+`(`*`(2, `*`(n))), n)), `>=`(n, 0) 

 

 

A good internet source is https://en.wikipedia.org/wiki/Catalan_number. 

 

Here are the early ones: 

 

 

> print(``); seq(binomial(2*n, n)/(n+1), n = 0..20);
 

 

1, 1, 2, 5, 14, 42, 132, 429, 1430, 4862, 16796, 58786, 208012, 742900, 2674440, 9694845, 35357670, 129644790, 477638700, 1767263190, 6564120420
1, 1, 2, 5, 14, 42, 132, 429, 1430, 4862, 16796, 58786, 208012, 742900, 2674440, 9694845, 35357670, 129644790, 477638700, 1767263190, 6564120420
(11.3)
 

>
 

 

So that our discovery was: 

 

 

(mod `^`(p, `+`(alpha, 1))) 

 

This is Theorem 7 of our mod p^3 Acta Arithmetica paper of 2010. 

 

Besides this we also obtained a similar congruence in connection with Jacobi's binomial coefficient congruence, one which Jacobi obtained in 1837, while Gauss was still alive (did Gauss try, but fail to obtain it?)