Gauss' binomial coefficient congruence, and its extension ("suggested by Beukers"), proved by Chowla-Dwork-Evans 

 

 

 

Gauss' binomial coefficient congruence theorem. For every prime  p = 1  (mod 4) we have: 

 

 

`/`(`*`(factorial(`+`(`*`(`/`(1, 2), `*`({`+`(p, `-`(1))}))))), `*`(`^`(factorial(`+`(`*`(`/`(1, 4), `*`({`+`(p, `-`(1))})))), 2))) = `+`(`*`(2, `*`(a)))(mod p)  

 

 

where 'a' is chosen according to the modified Fermat two-square theorem above. 

 

 

Remark #1. The object on the left-hand side is clearly a binomial coefficient. 

 

 

Remark #2. Gauss gave (and proved) this remarkable result in his 1828 paper as a result of studying the question: 

 

For primes , how many solutions does the congruence have?

 

Remark #3. I recommend my Monthly paper with Karl Dilcher (paper number 4 at https://johnbcosgrave.com/publications) for an alternative way of viewing (I mean by way of discovery) Gauss' theorem. 

 

 

> L := []:

for p from 5 by 4 to 200 do if isprime(p) then

  L := [op(L), p] fi od:

for p in L do

             a||p := a_sign(p); ### see the Procedures section

             b||p := sqrt(p - a_sign(p)^2);

            BC||p := ((p-1)/2)!/((p-1)/4)!^2:

          od:

print(``); print(array([

[ 'p', ``, ``, 'p = a^2 + b^2', ``, '({p-1}/2)!/({p-1}/4)!^2', ``, ``,

   'BC_red', ``, ``, '2*a'],

seq( [ p, ``, ``, [a||p, b||p], ``,  BC||p, ``, ``, mods(BC||p, p), ``, ``, 2*a||p ],

p = L ) ] ) ): print(``);

lprint(`The 2nd last column is the least absolute residue of the central column,`);

print(``);

lprint(`while the final column is the least absolute residue of 2 times the signed a.`);
 

 

 

 

 

 

array( 1 .. 22, 1 .. 12, [( 1, 4 ) = (p = `+`(`*`(`^`(a, 2)), `*`(`^`(b, 2)))), ( 13, 8 ) = (``), ( 11, 6 ) = (2104098963720), ( 14, 4 ) = ([-3, 10]), ( 2, 3 ) = (``), ( 7, 10 ) = (``), ( 10, 7 ) = (`...
`The 2nd last column is the least absolute residue of the central column,`
`while the final column is the least absolute residue of 2 times the signed a.`
 

>
 

 

 

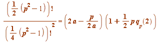
The Chowla-Dwork-Evans Theorem (1986). For every prime  p = 1  (mod 4) we have: 

 

 

`/`(`*`(factorial(`*`(`/`(1, 2), `+`(`*`(`^`(p, 2)), `-`(1))))), `*`(`^`(factorial(`*`(`/`(1, 4), `+`(`*`(`^`(p, 2)), `-`(1)))), 2))) = `*`(`+`(`*`(2, `*`(a)), `-`(`*`(p, `*`(`/`(`+`(`*`(2, `*`(a)))))... (mod `*`(`^`(p, 2)))  

 

 

where q[p](2) is the (already encountered) base-2 Fermat quotient.